Global AI and Data Science

Global AI & Data Science

Train, tune and distribute models with generative AI and machine learning capabilities

 View Only

Neural Network: The Explosion Inevitable

By Moloy De posted Thu July 23, 2020 08:32 PM

  
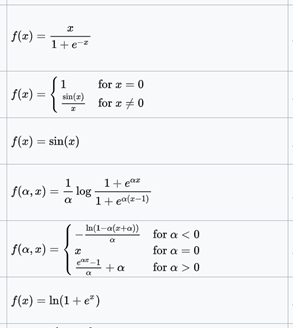
NEURAL NETWORK: Given an Input Vector x the output value y of a Neuron could be calculated by various functions as below:

A Network of such nodes creates a Neural Network.


DEEP NEURAL NETWORK: When multiple hidden layers are used the Network is called Deep Neural Network.

THE EXPLOSION: Neural Network has achieved tremendous success in the area of Supervised Machine Learning. Just the introduction of the non-linear link function created high accuracy machine learning models running on big data. Deep Learning took it further ahead introducing more and more hidden layers.

THE INEVITABILITY: With the advent of cheap as well as high capacity data storage and retrieval systems orthodox statistical data analysis methods were failing to perform well. As per my understanding non-statistical techniques like neural network, deep learning were inevitable.

QUESTION I: Does Neural Network accept a Linear Link Function?
QUESTION II: Could Neural Network be used in Time Series Forecasting?


#GlobalAIandDataScience
#GlobalDataScience
2 comments
9 views

Permalink

Comments

Sun July 26, 2020 08:33 AM

Thanks Zeeshan.

Fri July 24, 2020 02:39 PM

Hi I'm Zee a Healthcare Consultant at NHS UK. I really liked this article because i was not know about the Neural Network before.