Global AI and Data Science

Global AI & Data Science

Train, tune and distribute models with generative AI and machine learning capabilities

 View Only

Fitting Logistic Growth Curve to COVID19 Data

By Moloy De posted Thu April 30, 2020 08:12 PM

  

DATA:

Got the global COVID19 data here . Country wise daily csv files are available on total cases, total death and other measures.

LOGISTICS GROWTH CURVE:

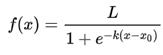
It is not hard to assume that the pandemic daily time series follow logistic growth. The sigmoid looks as below:

Mathematically,

Where,
x = time
e = the natural logarithm base (also known as Euler's number),

x0 = the x value of the sigmoid's midpoint,

L = the curve's maximum value,

k = the logistic growth rate or steepness of the curve.

The logistic function was introduced in a series of three papers by Pierre François Verhulst between 1838 and 1847, who devised it as a model of population growth by adjusting the exponential growth model, under the guidance of Adolphe Quetelet. Verhulst first devised the function in the mid 1830s, publishing a brief note in 1838, then presented an expanded analysis and named the function in 1844, the third paper adjusted the correction term in his model of Belgian population growth.

The initial stage of growth is approximately exponential (geometric); then, as saturation begins, the growth slows to linear (arithmetic), and at maturity, growth stops. Verhulst did not explain the choice of the term "logistic" (French: logistique), but it is presumably in contrast to the logarithmic curve, and by analogy with arithmetic and geometric. His growth model is preceded by a discussion of arithmetic growth and geometric growth (whose curve he calls a logarithmic curve, instead of the modern term exponential curve), and thus "logistic growth" is presumably named by analogy, logistic being from Ancient Greek, a traditional division of Greek mathematics. The term is unrelated to the military and management term logistics, which is instead from French: logis "lodgings", though some believe the Greek term also influenced logistics.

 
FITTING THE GROWTH CURVE:

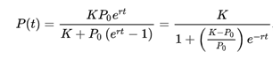
The “Growthcurver” package in R uses the following form which is then transformed to the standard form and is applied on csv data to fit the Logistic Growth Curve.



RESULTS:

Data from 31st December, 2019 to 30th April, 2020 is analysed to fit the Logistic Growth Curve. The R Squared turned out to be 99.8555%.

 


#GlobalAIandDataScience
#GlobalDataScience
0 comments
8 views

Permalink